The inhomogeneous Bessel differential equation
| 11.9.1 | |||
can be regarded as a generalization of (11.2.7). Provided that , (11.9.1) has the general solution
| 11.9.2 | |||
where , are arbitrary constants, is the Lommel function defined by
| 11.9.3 | |||
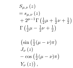
and
| 11.9.4 | |||
| . | |||
Another solution of (11.9.1) that is defined for all values of and is , where
| 11.9.5 | |||
the right-hand side being replaced by its limiting form when is an odd negative integer.
| 11.9.6 | ||||
For further information on Lommel functions see Watson (1944, §§10.7–10.75) and Babister (1967, Chapter 3). For descriptive properties of see Steinig (1972).
For collections of integral representations and integrals see Apelblat (1983, §12.17), Babister (1967, p. 85), Erdélyi et al. (1954a, §§4.19 and 5.17), Gradshteyn and Ryzhik (2015, §6.86), Marichev (1983, p. 193), Oberhettinger (1972, pp. 127–128, 168–169, and 188–189), Oberhettinger (1974, §§1.12 and 2.7), Oberhettinger (1990, pp. 105–106 and 191–192), Oberhettinger and Badii (1973, §2.14), Prudnikov et al. (1990, §§1.6 and 2.9), Prudnikov et al. (1992a, §3.34), and Prudnikov et al. (1992b, §3.32).