About the Project
25 Zeta and Related FunctionsRiemann Zeta Function

§25.4 Reflection Formulas

For s0,1,

25.4.1 ζ(1s)=2(2π)scos(12πs)Γ(s)ζ(s),
25.4.2 ζ(s)=2(2π)s1sin(12πs)Γ(1s)ζ(1s).

Equivalently,

25.4.3 ξ(s)=ξ(1s),

where ξ(s) is Riemann’s ξ-function, defined by:

25.4.4 ξ(s)=12s(s1)Γ(12s)πs/2ζ(s).

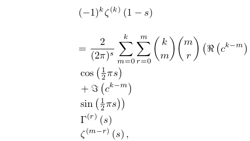
For s0,1 and k=1,2,3,,

25.4.5 (1)kζ(k)(1s)=2(2π)sm=0kr=0m(km)(mr)((ckm)cos(12πs)+(ckm)sin(12πs))×Γ(r)(s)ζ(mr)(s),

where

25.4.6 cln(2π)12πi.