DLMF
Index
Notations
Search
Help?
Citing
Customize
Annotate
UnAnnotate
About the Project
35
Functions of Matrix Argument
Properties
35.2
Laplace Transform
35.4
Partitions and Zonal Polynomials
§35.3
Multivariate Gamma and Beta Functions
ⓘ
Permalink:
http://dlmf.nist.gov/35.3
See also:
Annotations for
Ch.35
Contents
§35.3(i)
Definitions
§35.3(ii)
Properties
§35.3(i)
Definitions
ⓘ
Defines:
Γ
m
(
a
)
: multivariate gamma function
Keywords:
definition
,
multivariate gamma function
Notes:
See
Wishart (
1928
)
,
Ingham (
1933
)
,
Gindikin (
1964
)
.
Permalink:
http://dlmf.nist.gov/35.3.i
See also:
Annotations for
§35.3
and
Ch.35
35.3.1
Γ
m
(
a
)
=
∫
𝛀
etr
(
−
𝐗
)
|
𝐗
|
a
−
1
2
(
m
+
1
)
d
𝐗
,
ℜ
(
a
)
>
1
2
(
m
−
1
)
.
ⓘ
Symbols:
etr
(
𝐀
)
: exponential of trace
,
∫
: integral
,
Γ
m
(
a
)
: multivariate gamma function
,
ℜ
: real part
,
a
: complex variable
,
𝐗
: real symmetric
m
×
m
matrix
,
|
𝐗
|
: determinant of
𝐗
,
d
: differential of matrix
,
𝛀
: space of positive-definite real symmetric
m
×
m
matrices
and
m
: positive integer
Permalink:
http://dlmf.nist.gov/35.3.E1
Encodings:
TeX
,
pMML
,
png
See also:
Annotations for
§35.3(i)
,
§35.3
and
Ch.35
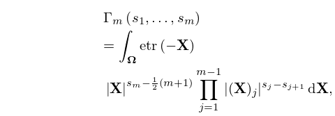
35.3.2
Γ
m
(
s
1
,
…
,
s
m
)
=
∫
𝛀
etr
(
−
𝐗
)
|
𝐗
|
s
m
−
1
2
(
m
+
1
)
∏
j
=
1
m
−
1
|
(
𝐗
)
j
|
s
j
−
s
j
+
1
d
𝐗
,
s
j
∈
ℂ
,
ℜ
(
s
j
)
>
1
2
(
j
−
1
)
,
j
=
1
,
…
,
m
.
ⓘ
Symbols:
ℂ
: complex plane
,
∈
: element of
,
etr
(
𝐀
)
: exponential of trace
,
∫
: integral
,
Γ
m
(
a
)
: multivariate gamma function
,
ℜ
: real part
,
𝐗
: real symmetric
m
×
m
matrix
,
|
𝐗
|
: determinant of
𝐗
,
|
(
𝐗
)
j
|
:
j
th principal minor of
𝐗
,
d
: differential of matrix
,
𝛀
: space of positive-definite real symmetric
m
×
m
matrices
,
j
: nonnegative integer
and
m
: positive integer
Permalink:
http://dlmf.nist.gov/35.3.E2
Encodings:
TeX
,
pMML
,
png
See also:
Annotations for
§35.3(i)
,
§35.3
and
Ch.35
35.3.3
B
m
(
a
,
b
)
=
∫
𝟎
<
𝐗
<
𝐈
|
𝐗
|
a
−
1
2
(
m
+
1
)
|
𝐈
−
𝐗
|
b
−
1
2
(
m
+
1
)
d
𝐗
,
ℜ
(
a
)
,
ℜ
(
b
)
>
1
2
(
m
−
1
)
.
ⓘ
Defines:
B
m
(
a
,
b
)
: multivariate beta function
Symbols:
∫
: integral
,
ℜ
: real part
,
a
: complex variable
,
𝐈
:
m
×
m
identity matrix
,
𝐗
: real symmetric
m
×
m
matrix
,
|
𝐗
|
: determinant of
𝐗
,
d
: differential of matrix
,
b
: complex variable
,
<
: less-than for matrices
,
m
: positive integer
and
𝟎
:
m
×
m
matrix of zeros
Keywords:
definition
,
multivariate beta function
Permalink:
http://dlmf.nist.gov/35.3.E3
Encodings:
TeX
,
pMML
,
png
See also:
Annotations for
§35.3(i)
,
§35.3
and
Ch.35
§35.3(ii)
Properties
ⓘ
Keywords:
multivariate beta function
,
multivariate gamma function
,
properties
Notes:
See
Wishart (
1928
)
,
Ingham (
1933
)
,
Gårding (
1947
)
,
Herz (
1955
)
,
Olkin (
1959
)
.
Permalink:
http://dlmf.nist.gov/35.3.ii
See also:
Annotations for
§35.3
and
Ch.35
35.3.4
Γ
m
(
a
)
=
π
m
(
m
−
1
)
/
4
∏
j
=
1
m
Γ
(
a
−
1
2
(
j
−
1
)
)
.
ⓘ
Symbols:
Γ
(
z
)
: gamma function
,
π
: the ratio of the circumference of a circle to its diameter
,
Γ
m
(
a
)
: multivariate gamma function
,
a
: complex variable
,
j
: nonnegative integer
and
m
: positive integer
Permalink:
http://dlmf.nist.gov/35.3.E4
Encodings:
TeX
,
pMML
,
png
See also:
Annotations for
§35.3(ii)
,
§35.3
and
Ch.35
35.3.5
Γ
m
(
s
1
,
…
,
s
m
)
=
π
m
(
m
−
1
)
/
4
∏
j
=
1
m
Γ
(
s
j
−
1
2
(
j
−
1
)
)
.
ⓘ
Symbols:
Γ
(
z
)
: gamma function
,
π
: the ratio of the circumference of a circle to its diameter
,
Γ
m
(
a
)
: multivariate gamma function
,
j
: nonnegative integer
and
m
: positive integer
Permalink:
http://dlmf.nist.gov/35.3.E5
Encodings:
TeX
,
pMML
,
png
See also:
Annotations for
§35.3(ii)
,
§35.3
and
Ch.35
35.3.6
Γ
m
(
a
,
…
,
a
)
=
Γ
m
(
a
)
.
ⓘ
Symbols:
Γ
m
(
a
)
: multivariate gamma function
,
a
: complex variable
and
m
: positive integer
Permalink:
http://dlmf.nist.gov/35.3.E6
Encodings:
TeX
,
pMML
,
png
See also:
Annotations for
§35.3(ii)
,
§35.3
and
Ch.35
35.3.7
B
m
(
a
,
b
)
=
Γ
m
(
a
)
Γ
m
(
b
)
Γ
m
(
a
+
b
)
.
ⓘ
Symbols:
B
m
(
a
,
b
)
: multivariate beta function
,
Γ
m
(
a
)
: multivariate gamma function
,
a
: complex variable
,
b
: complex variable
and
m
: positive integer
Permalink:
http://dlmf.nist.gov/35.3.E7
Encodings:
TeX
,
pMML
,
png
See also:
Annotations for
§35.3(ii)
,
§35.3
and
Ch.35
35.3.8
B
m
(
a
,
b
)
=
∫
𝛀
|
𝐗
|
a
−
1
2
(
m
+
1
)
|
𝐈
+
𝐗
|
−
(
a
+
b
)
d
𝐗
,
ℜ
(
a
)
,
ℜ
(
b
)
>
1
2
(
m
−
1
)
.
ⓘ
Symbols:
∫
: integral
,
B
m
(
a
,
b
)
: multivariate beta function
,
ℜ
: real part
,
a
: complex variable
,
𝐈
:
m
×
m
identity matrix
,
𝐗
: real symmetric
m
×
m
matrix
,
|
𝐗
|
: determinant of
𝐗
,
d
: differential of matrix
,
𝛀
: space of positive-definite real symmetric
m
×
m
matrices
,
b
: complex variable
and
m
: positive integer
Permalink:
http://dlmf.nist.gov/35.3.E8
Encodings:
TeX
,
pMML
,
png
See also:
Annotations for
§35.3(ii)
,
§35.3
and
Ch.35