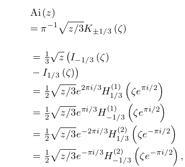
For the notation see §§10.2(ii) and 10.25(ii). With
| 9.6.1 | |||
| 9.6.6 | |||
|
ⓘ
| |||
| 9.6.7 | |||
|
ⓘ
| |||
| 9.6.8 | |||
|
ⓘ
| |||
| 9.6.9 | |||
|
ⓘ
| |||
Again, for the notation see §§10.2(ii) and 10.25(ii). With
| 9.6.10 | |||
|
ⓘ
| |||
| 9.6.11 | ||||
|
ⓘ
| ||||
| 9.6.12 | ||||
|
ⓘ
| ||||
| 9.6.13 | ||||
|
ⓘ
| ||||
| 9.6.14 | ||||
|
ⓘ
| ||||
| 9.6.15 | ||||
|
ⓘ
| ||||
| 9.6.16 | ||||
|
ⓘ
| ||||
Suggested 2014-01-27 by Tom Koornwinder
For the notation see §§13.1, 13.2, and 13.14(i). With as in (9.6.1),
| 9.6.21 | ||||
|
ⓘ
| ||||
| 9.6.22 | ||||
|
ⓘ
| ||||
| 9.6.23 | ||||
|
ⓘ
| ||||
| 9.6.24 | ||||
|
ⓘ
| ||||
| 9.6.25 | ||||
|
ⓘ
| ||||
| 9.6.26 | ||||
|
ⓘ
| ||||